常规公式:
已知三角形的底边长为a,高为h,则三角形面积:S=底x高x½=½ah
特殊公式:
➊已知三角形的周长为l=a+b+c,内切圆半径为r,则三角形面积: S=½lr=½(a+b+c)r
❷已知三角形的三边长的乘积为L=abc,外接圆半径为R,则三角形面积:S=L/4R=abc/4R
❸海伦(Heran)公式,已知△ABC中,AB=c,BC=a,CA=b,p=½(a+b+c),则三角形面积:![图片[1]-⑤种三角形面积.神求法-嗨皮网-Hpeak.net](https://www.hpeak.net/wp-content/uploads/2021/02/Screenshot_20210201_083835.jpg)
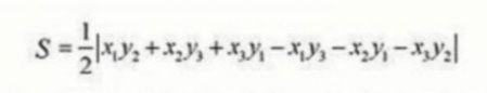
❹已知在平面直角坐标系中,△ABC的三顶点坐标分别为,A(x1,y1), B(x2,y2), C(x3,y3)则三角形面积:
![图片[2]-⑤种三角形面积.神求法-嗨皮网-Hpeak.net](https://www.hpeak.net/wp-content/uploads/2021/02/Screenshot_20210201_084203.jpg)
特别地,当A(0.0),或经过平移后A(0.0),B(x1,y1),C(x2,y2)此时,三角形面积为:
![图片[3]-⑤种三角形面积.神求法-嗨皮网-Hpeak.net](https://www.hpeak.net/wp-content/uploads/2021/02/Screenshot_20210201_084307.jpg)
© 版权声明
THE END













![红包猎手-自动抢红包神器[2022最新破解版]-嗨皮网-Hpeak.net](https://www.hpeak.net/wp-content/uploads/2022/02/1643645959.png)


暂无评论内容